Аналитический метод расчета нелинейных электрических цепей
Для аналитического расчета электрических цепей с нелинейными элементами участки вольт-амперных характеристик заменяют прямыми участками. За счет этого нелинейный элемент электрической цепи заменяется эквивалентным линейным элементом. Расчет эквивалентной схемы с линейными элементами осуществляется одним из известных методов, применяемых при расчетах линейных электрических цепей.

На рис. 1 дана ВАХ нелинейного элемента по оси абсцисс (x) в масштабе mU [В/см] отложено напряжение, а по оси ординат (y) в масштабе mI [А/см] ток. Часть нелинейного участка вольт-амперной характеристики между точками ав заменена прямым отрезком.
Статическое сопротивление
Нелинейный элемент на любом участке ВАХ будет характеризоваться статическим сопротивлением, определяемым отношением напряжения к току, соответствующим рассматриваемой точке вольт-амперной характеристики. Для точки a статическое сопротивление будет равно:

То есть статическое сопротивление будет пропорционально котангенсу угла а; mr = mU/mI [Ом]
Статическое сопротивление нелинейного элемента, ВАХ которого представлена на рисунке 1, с ростом напряжения уменьшается.
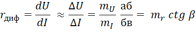
Дифференциальное сопротивление
Второй характеристикой нелинейного элемента выступает дифференциальное сопротивление, которое определяется отношением бесконечно малого приращения напряжения к соответствующему приращению тока. Для точки a дифференциальное сопротивление будет равно:

где β — угол наклона касательной, проведенной через точку а.
У линейного элемента статическое сопротивление равно дифференциальному. Схема замещения нелинейного элемента.
Проведем через точку а и в прямую.

В общем случае эта прямая не проходит через начало координат рисунок 1-2. Поэтому нелинейный элемент в близи точки а невозможно заменить только резистором с сопротивлением rдиф. Необходимо в схему замещения включить дополнительные источник ЭДС E, значение которого определяется точкой пересечения с осью х (точка д). Если точка пересечения д находится на отрицательной части оси х (рисунок 2), то эдс в схеме замещения направлена в противоположную сторону (рисунок 3 б)

Данные схемы замещения верны только при значениях напряжения и тока, близких к расчетной точке а, для которой найдено дифференциальное сопротивление. В других рабочих точках необходимо найти новые значение rдиф и E.
При известном значении напряжения U ток I определяется по обобщенному закону Ома. Для схемы замещения рисунок 3 а:
![]()
Для схемы замещения рисунок 3 б:
![]()