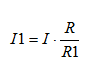
Формула разброса
Благодаря формуле разброса, зная сумму действующих токов, мы можем определить действующие токи в параллельных ветвях.
Формула разброса — действующий ток в параллельной ветви равен произведению сумме токов (I) в параллельных ветвях и отношению сумме сопротивлений ветвей(R) к сопротивлению ветви искомого тока.
I = I1+I2
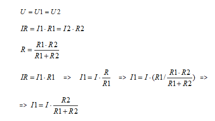
Формула разброса для двух параллельных ветвей — действующий ток в параллельной ветви равен произведению сумме токов в параллельных ветвях и отношению сопротивления второй параллельной ветви к сумме сопротивления двух параллельных ветвей.



