Расчет цепей с параллельным соединением ветвей

Расчет электрической цепи, рассмотренный в предыдущей статье, можно распространить на цепи, содержащие произвольное число приемников, соединенных параллельно.

1

На рис. 14.14, а параллельно соединены те же элементы цепи, которые были рассмотрены при последовательном соединении (см. рис. 14.7, а). Предположим, что для этой цепи известны напряжение u = Umsinωt. и параметры элементов цепи R, L, С. Требуется найти токи в цепи и мощность.

Векторная диаграмма для цепи с параллельным соединением ветвей. Метод векторных диаграмм

Для мгновенных величин в соответствии с первым законом Кирхгофа уравнение токов

2

Представляя ток в каждой ветви суммой активной и реактивной составляющих, получим

3

Для действующих токов нужно написать векторное уравнение

4

Численные значения векторов токов определяются произведением напряжения и проводимости соответствующей ветви.

На рис. 14.14, б построена векторная диаграмма, соответствующая этому уравнению. За исходный вектор принят, как обычно при расчете цепей с параллельным соединением ветвей, вектор напряжения U, а затем нанесены векторы тока в каждой ветви, причем направления их относительно вектора напряжения выбраны в соответствии с характером проводимости ветвей. Начальной точкой при построении диаграммы токов выбрана точка, совпадающая с началом вектора напряжения. Из этой точки проведен вектор l1a активного тока ветви(по фазе совпадает c напряжением), а из конца его проведен вектор I1p реактивного тока той же ветви (опережает напряжение на 90°). Эти два вектора являются составляющими вектора I1 тока первой ветви. Далее в том же порядке отложены векторы токов других ветвей. Следует обратить внимание на то, что проводимость ветви 3-3 активная, поэтому реактивная составляющая тока в этой ветви равна нулю. В ветвях 4-4 и 5-5 проводимости реактивные, поэтому в составе этих токов нет активных составляющих.

Расчетные формулы для цепи с параллельным соединением ветвей. Метод векторных диаграмм

Из векторной диаграммы видно, что все активные составляющие векторов тока направлены одинаково — параллельно вектору напряжения, поэтому векторное сложение их можно заменить арифметическими найти активную составляющую общего тока: Iа = I1a + I2a + I3a.

Реактивные составляющие векторов токов перпендикулярны вектору напряжения, причем индуктивные токи направлены в одну сторону, а емкостные — в другую. Поэтому реактивная составляющая общего тока в цепи определяется их алгебраической суммой, в которой индуктивные токи считаются положительными, а емкостные — отрицательными: Ip = — I1p + I2p — I4p + I5p.

Векторы активного, реактивного и полного тока всей цепи образуют прямоугольный треугольник, из которого следует

5Подставив величины токов в ветвях, выраженные через напряжение и соответствующие проводимости, получим

6

где ∑Gnобщая активная проводимостьравная арифметической сумме активных проводимостей всех ветвей; ∑Bn — общая реактивная
проводимость, равная алгебраической сумме реактивных проводимостей всех ветвей (в этой сумме индуктивные проводимости считаются положительными, а емкостные — отрицательными); Y — полная проводимость цепи;7

Таким образом получена знакомая уже формула (14.12), связывающая напряжение, ток и проводимость цепи [ср. (14.12) и (14.8)].

Следует обратить внимание на возможные ошибки при определении полной проводимости цепи по известным проводимостям отдельных ветвей: нельзя складывать арифметически проводимости ветвей, если токи в них не совпадают по фазе.

Полную проводимость цепи в общем случае определяют как гипотенузу прямоугольного треугольника, катетами которого являются выраженные в определенном масштабе активная и реактивная проводимости всей цепи:

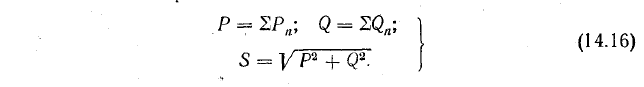
8От треугольника токов можно перейти также к треугольнику мощностей и для определения мощности получить известные уже формулы

9Активную мощность цепи можно представить как арифметическую сумму активных мощностей ветвей.

Реактивная мощность цепи равна алгебраической сумме мощностей ветвей. В этом случае индуктивная мощность берется положительной, а емкостная — отрицательной:10

Расчет цепи без определения проводимостей ветвей

Расчет электрической цепи при параллельном соединении ветвей можно выполнить без предварительного определения активных и реактивных проводимостей, т. е. представляя элементы цепи в схеме замещения их активными и реактивными сопротивлениями (рис. 14.15, а).

Определяют токи в ветвях по формуле (14.4);

11

где Z1, Z2 и т. д. — полные сопротивления ветвей.

Полное сопротивление ветви, в которую входят несколько элементов, соединенных последовательно, определяют по формуле (14.5).

12Для построения векторной диаграммы токов (рис. 14.15, б) можно определить активную и реактивную составляющие тока каждой ветви по формулам

13

и т. д. для всех ветвей.

В этом случае отпадает необходимость определения углов ф1 фи построения их на чертеже.

Ток в неразветвленной части цепи

14

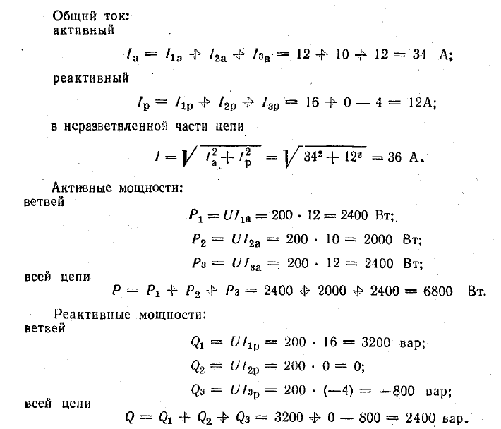
Общий ток и мощность цепи определяются далее в том же порядке, какой был показан ранее (см. формулы (14.10), (14.15), (14.16)].

Задача

15 18 19 20 21