Последовательное соединение катушки и конденсатора

При последовательном соединении катушки и конденсатора на расчетной схеме каждый из этих элементов электрической цепи может быть представлен активным и реактивным сопротивлениями или активной и реактивной проводимостями.

Для расчета более простой является схема рис. 14.1, а, где элементы соединены последовательно, а в схеме рис. 14.1, б они соединены смешанно.


Предположим известными параметры катушки R1, L и конденсатора R2, C; ток в цепи i = Imsinωt.

Требуется определить напряжение на участках цепи и мощность.

Векторная диаграмма и полное сопротивление цели

Мгновенную величину общего напряжения можно представить суммой мгновенных напряжений на отдельных элементах схемы:

u = u1R + uL + uC + u2R,

Имея в виду несовпадение по фазе активных и реактивных напряжений, общее напряжение получим векторным сложением:

U = U2R + UL + UC +U2R

Для построения векторной диаграммы находим:

           U1R = IR1;         U2R = IR2;          UL = IXL;         UC = IXC.

В зависимости от соотношения величин реактивных сопротивлений индуктивности и емкости можно отметить три случая:

1. ХLC . Для этого случая векторная диаграмма представлена на рис. 14.2. На диаграмме построены треугольники напряжений для катушки и конденсатора и найдены векторы напряжения U1 и U2 на этих элементах.Векторная диаграмма катушки и конденсатора

Векторная сумма напряжений U1 + U2 = U дает общее напряжение в цепи. Вместе с тем вектор U является гипотенузой прямоугольного треугольника напряжений, катеты которого — активное и реактивное напряжения цепи (Uа и Uр). Так как векторы активных составляющих напряжения направлены в одну сторону, их численные значения складываются: Ua = U1R + U2R.

Векторы реактивных составляющих напряжения направлены по одной прямой в противоположные стороны, поэтому им придают разные знаки: реактивное напряжение индуктивности считают положительным, а напряжение емкости — отрицательным: Uр = UL — UC .

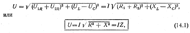
При одинаковом токе во всех элементах цепи UL>UC . Ток отстает от общего напряжения по фазе на угол φ. Из треугольника напряжений следуетпоследовательное соединение конденсатора и катушки. Формула 3

где R = R1 + R2  и X = XL — XC  общее и активное и реактивное сопротивление цепи. Полное сопротивление цепи —  Z.

Эти сопротивления графически можно изобразить сторонами прямоугольного треугольника сопротивлений, который получают уже известным способом из треугольника напряжений.

Полное сопротивление цепи Z является коэффициентом пропорциональности между действующими величинами тока и общего напряжения цепи:

U = IZ;    I = U/Z;    Z = U/I.

Из треугольников напряжения и сопротивлений определяют следующие величины:последовательное соединение конденсатора и катушки. Формула 2

Угол сдвига по фазе между напряжением и током в цепи положительный (φ>0) (фазовые токи отсчитываются от вектора тока).

2. ХL< ХC   Векторная диаграмма изображена на рис. 14.3, где UL<UC , поэтому общее напряжение отстает от тока на угол φ<0.

Реактивное сопротивление цепи носит емкостный характер.

Расчетные формулы для первого случая остаются без изменения и для второго случая.

3. XL = ХC . В этом случае реактивные составляющие напряжения катушки и конденсатора равны по величине и взаимно компенсированы: UL = UC (рис. 14.4). Поэтому реактивная составляющая общего напряжения и общее реактивное сопротивление равны нулю, а полное сопротивление цепи Z = R.

векторная диаграмма при резонансе

Общее напряжение совпадает по фазе с током и равно по величине активной

составляющей напряжения.

Угол φ сдвига фаз между током и общим напряжением равен нулю.

Ток в цепи и общее напряжение связаны формулой

U = IR, или I = U/R.

В случае XL = ХC в цепи имеет место явление резонанса напряжений.

Энергетический процесс в цепи с последовательном соединении конденсатора и катушки

Из треугольника напряжений легко получить треугольник мощностей из которого следуют уже известные формулы:последовательное соединение конденсатора и катушки. Формула 5

Реактивные мощности входят в расчеты также с разными знаками: индуктивная мощность положительна, а емкостная — отрицательна. 

В соответствии с этим знак реактивной мощности всей цепи может быть тем или другим, что следует и из формул (14.2).
При φ>0 Q>0; при φ<0 Q<0.

Активная мощность положительна при любом угле, так как cosφ = cos(-φ).

Полная мощность также всегда положительна. На основании формул (14.2) можно сделать вывод, что в рассматриваемой цепи совершается преобразование электрической энергии (Р ≠ 0) и обменный процесс между генератором и приемником (Q ≠ 0 при φ ≠ 0).

Энергетические процессы в данном случае сложнее, чем в ранее рассмотренных простых цепях. Усложнение объясняется тем, что наряду с обменом энергией между генератором и приемником совершается обмен энергией внутри приемника, между катушкой и конденсатором.

Особенности энергетического процесса в цепи с последовательным соединением катушки и конденсаторов отражены на рис. 14.5, где показаны графики мгновенной мощности отдельных элементов и цепи в целом при XL = ХС.Особенности энергетического процесса в цепи с последовательным соединением катушки и конденсаторов

Катушка и конденсатор в течение полупериода накапливают равные количества энергии. Однако в первую четверть периода, когда ток увеличивается, а напряжение на конденсаторе уменьшается, энергия накапливается в магнитном поле катушки и уменьшается в электрическом поле конденсатора, причем скорость изменения энергии (мощность) в любой момент времени одинакова. Это дает основание считать, что обмен энергией происходит только в приемнике между катушками
и конденсатором.

Для преобразования электрической энергии в другой вид приемник получает ее от генератора со средней скоростью (мощностью) Р.

Задачи по теме и пример решения задачи для схемы с последовательным соединением конденсатора и катушки