Электрический ток и его плотность

Электрическим током называют направленное движение свободно заряженных частиц под действием электрического поля.

Как правило движение зарядов происходит в некоторой среде (веществе или вакууме), являющейся проводником для электрического тока. Движущимися в среде заряженными частицами могут быть электроны (в металлах, полупроводниках) или ионы (в жидкостях и газах).

Упорядочное движение носителей заряда под действием электрического поля
Рис. 1 Электрический ток

Для возникновения и протекания электрического тока в любой токопроводящей среде необходимо выполнение двух условий:

  1. Наличие в среде свободных носителей заряда;
  2. Наличие электрического поля.

Для поддержания электрического поля, например в проводнике, к его концам необходимо подключить какой-либо источник электрической энергии (батарейку или аккумулятор). Поле в проводнике создается зарядами, которые накопились на электродах источника тока под действием сил (химических, механических и т.д.).

За направление тока условно принято принимать направление движения положительных зарядов. Следовательно, условно принятое направление тока обратно направлению движения электронов – основных отрицательных электрических носителей заряда в металлах и полупроводниках.

Понять явление электрического тока достаточно сложно так как его невозможно увидеть глазами. Для лучшего понимания процессов в электронике проведем аналогию между электрическим током в проводнике и водой в тонкой трубочке. В трубочке есть вода (носители заряда в проводнике), но она неподвижна, если трубочка лежит на горизонтальной поверхности и уровень высот ее концов (значения потенциалов электрического поля) одинаковый. Если трубочку наклонить так, что один конец станет выше другого (появится разность потенциалов), вода потечет по трубочке (электроны придут в движение).

Способность вещества проводить электрический ток под действием электрического поля называется электропроводностью. Каждому веществу соответствует определенная степень электропроводности. Ее значение зависит от концентрации в веществе носителей заряда – чем она выше, тем больше электропроводность. В зависимости от электропроводности все вещества делятся на три большие группы: проводники, полупроводники и диэлектрики.

Электрический ток может менять направление и величину во времени (переменный ток) или оставаться неизменным (постоянный) (рисунок 2).

Рис. 2. Постоянный и переменный электрические токи
Рис. 2. Постоянный и переменный электрические токи

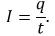
Количественной мерой электрического тока служит сила тока I, которая определяется числом электронов (зарядов) q, проходящих через импровизированное поперечное сечение проводника в единицу времени t (рисунок 3).

Формула силы тока

Рис. 3. Сила тока в проводнике
Рис. 3. Сила тока в проводнике

Для постоянного тока представленное выше выражение можно записать в виде

Сила тока

Ток в системе СИ измеряется в амперах, [А]. Току в 1 А соответствует ток, при котором через поперечное сечение за 1 секунду проходит электрический заряд, равный 1 Кл.

1 A = 1 Кл/1 сек.

Плотность электрического тока

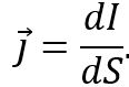
Под плотностью тока j понимается физическая величина, равная отношению тока I к площади поперечного сечения S проводника. При равномерном распределении тока по поперечному сечению проводника.

J = I/S 

Плотность тока в системе СИ измеряется в амперах на миллиметр квадратный, [А/мм2].

Рассмотрим плотность тока в проводнике с разным поперечным сечением. Например, соединены два проводника с различными сечениями: первый толстый провод с большим поперечным сечением S1 второй тонкий провод с сечением S2. К концам которых приложено постоянное напряжение (рисунок 5) в следствии чего через них протекает постоянный ток с одинаковой силой тока.

Рис.5 Плотность тока в проводниках с различными сечениями.
Рис.5 Плотность тока в проводниках с различными сечениями.

Предположим, что сила тока через поперечное сечение толстого проводника S1 и тонкого провода S2 различная. Из этого предположения вытекает, что за каждую единицу времени через сечения S1 и S2 протекают различные значения электрического заряда. Следовательно, в объёме провода, расположенного между двумя указанными сечениям происходит непрерывное скапливание зарядов, и напряженность электрического поля изменялась бы, чего не может быть, так как при изменении электрического поля ток был бы непостоянен. В проводах с различным сечением при одном и том же токе плотность тока обратно пропорциональна площади поперечного сечения.

I = J1S1 = J2S2

Плотность тока — векторная величина.

Формула пдотности тока

Рис. 4. Графическая интерпретация плотности тока j
Рис. 4. Графическая интерпретация плотности тока j

Направление вектора Вектор плотность тока совпадает с направлением положительно заряженных зарядов и, следовательно, с направлением самого тока I.

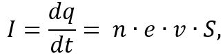
Если концентрация носителей тока равна n, каждый носитель имеет заряд e и скорость его движения в проводнике равна v (рисунок 3), то за время dt через поперечное сечение S проводника переносится заряд

Формула плотности тока

В этом случае величину силы тока I можно представить в виде зависимости

Формула силы тока

а плотность тока

 

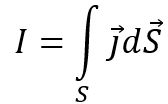
Сила тока через произвольную поверхность определяется через поток вектора плотности тока, как интеграл по произвольной (в общем случае) поверхности S (рисунок 6)

Формула плотность тока

Рис. 6. Сила тока через произвольную поверхность S
Рис. 6. Сила тока через произвольную поверхность S

От величины плотности тока зависит важный показатель – качество электропередачи. Фактически этот показатель зависит от степени нагрузки проводника (хотя и не только от нее). В зависимости от значения плотности тока принято выбирать сечение проводов – это связано с наличием у проводников сопротивления, в результате которого происходит нагрев жил проводника вплоть до его расплавления и выхода из строя.

[HDquiz quiz = «70»]