Задачи с решением по теме: неразветвленные цепи переменного тока
Задачи по теме неразветвленные цепи переменного тока.
Задача 14.3. Определить ток и составить баланс мощностей для цепи, схема которой изображена на рис. 14.8. Построить топографическую диаграмму и по ней определить напряжение U8,5 между точками 8 и 5 и U6,1 между точками 6 и 1.
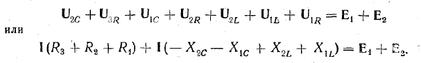
Решение. Согласно второму закону Кирхгофа, составим уравнение напряжений в векторной форме, предварительно выбрав условно-положительные направления э д. с. и тока в схеме, (их целесообразно выбрать одинаковыми независимо от того» в каком режиме работает источник э. д.с, так как фазовый угол сдвига, полученный в результате расчета, укажет истинный режим его работы):
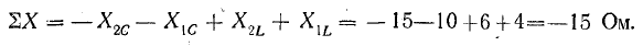
Общее реактивное сопротивление![]()
Как видно общее реактивное сопротивление имеет ёмкостной характер.
Полное сопротивление
Действующие величины ЭДС
Для определения действующей величины суммы двух э. д. с. ( E1 + Е2) построим векторную диаграмму (рис. 14.9, а) (рекомендуется построить на отдельном листе миллиметровой бумаги в масштабе Мu = 40 В/см).
Измерение вектора Е показывает, что величина суммарной э. д. с. Е = 200 В. Э. д. с. можно найти, учитывая, что ее составляющие взаимно перпендикулярны. В этом случае 
Напряжение на отдельных участках схемы
Для построения векторной топографической диаграммы (рис. 14.9, б) выберите масштабы Mi = 2 А/см; МU = 40 В/см. (рекомендуется построить на отдельном листе миллиметровой бумаги).

Реактивные мощности емкостного характера Q1c, Q2c и Q1e отрицательны, так как между векторами напряжений и токов, определяющими их, углы отрицательны.
Для определения напряжений U8,5 и U6,1 ( проведем векторы между соответствующими точками топографической диаграммы. Вектор направляется к
точке, стоящей первой в обозначении напряжения. Например, вектор U8.5 направлен в точку 8 из точки 5. Измерение векторов U8.5 и U6.1 дает:
Задача 14.4. Определить ток, составить баланс мощностей и построить векторную топографическую диаграмму для цепи, схема которой показана на рис. 14.10.





