Электрическая цепь с двумя источниками
Электрическая цепь может содержать несколько источников или приемников электроэнергии. Такие цепи называются сложными, для расчетов основных величин в таких цепях применяют специальные методы.
На рисунке 1 приведена схема с двумя источниками ЭДС: E1 и E2. Источники имеют внутренние сопротивления r1 и r2. Нагрузка условно обозначена резистором с сопротивлением R. Так как в цепи отсутствуют разветвления, то ток во всех ветвях будет одинаков и равен I

Для расчета сложных электрических цепей наряду с законом Ома применяются два закона Кирхгофа.
Одним из наиболее простых способов расчета цепи с двумя источниками ЭДС является метод наложения токов. Данный метод основан на аддитивном свойстве токов, согласно которому ток в цепи равен алгебраической сумме токов, создаваемых каждым источником питания независимо друг от друга. Это правило применимо для расчета любой линейной цепи (то есть цепи, в которой сопротивления всех участков постоянны).
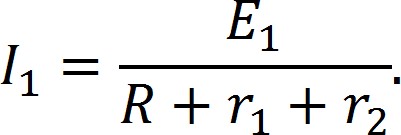
Пусть в электрической цепи действует только один источник ЭДС E1, тогда ток в цепи будет равен

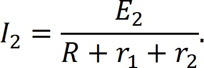
Теперь положим обратную ситуацию: в электрической цепи действует только один источник ЭДС E2, а источник E1 присутствует, но не производит ток. Тогда ток в цепи будет равен

Два источника ЭДС в цепи направлены встречно, следовательно, суммарный ток I будет равен разности токов I1 и I2

Из свойства аддитивности токов можно сделать немаловажный вывод: если ЭДС E1 и E2 имеют встречное направление, и равны, то ток в цепи будет равен нулю
I = I1 — I2 = 0.
Если значения E1 и E2 различны, то в цепи возникает ток, направление которого совпадает с током, создаваемой «большим» ЭДС. Иными словами, если E1 > E2, то направление тока совпадает с ЭДС E1, если E1 < E2, то направление тока будет противоположным. На рисунке 1 выбранное направление тока соответствует первой ситуации (E1 > E2).
Электродвижущая сила E2, направленная в противоположную току I сторону, называется встречной или противо-ЭДС.
Рассмотрим процессы и запишем основные зависимости, которые соответствуют каждому из участков цепи.
На участке ab имеется сопротивление источника ЭДС r1, а действие самого источника совпадает с направлением тока I. Следовательно указанный источник работает в режиме генератора (источника энергии). Таким образом, ЭДС источника равна сумме напряжения на его выводах и внутреннего падения напряжения
E1 = Uab + Ur1 = Uab + I ⋅ r1.
Согласно записанному выше выражению,
![]()
Иными словами, напряжение на выводах источника, отдающего энергию в цепь, равно разности ЭДС источника и внутреннего падения напряжения.
Согласно закону Ома, на участке bc падение напряжения равно
Ubc = I ⋅ R.
Кроме того, следует отметить, что на участке bc электрическая энергия преобразуется в тепловую, при этом происходит выделение мощности, равной
Pbc = I2 ⋅ R.
На последнем рассматриваемом участке ca источник ЭДС E2 действует против направления тока I. Источник имеет сопротивление r2. На данном участке имеется потеря мощности (нагрев), равная r2 ⋅ I2. Кроме того, источник ЭДС создает собственную мощность E2⋅ I, направленную на преодоление сил встречной ЭДС. Получается, что источник с противо-ЭДС работает в цепи как потребитель (приемник).
Мощность, выделяемая на участке ca равна
Pca = E2 ⋅ I + r2 ⋅ I2.
Cледовательно, напряжение на этом участке равно

На основании записанного выше выражения можно сделать вывод, что напряжение на вывод источника, работающего в режиме противо-ЭДС равно сумме самого ЭДС и внутреннего падения напряжения на нем.
[HDquiz quiz = «75»]