Задачи на параллельное соединение проводников
Теоретические материал для решения задач на параллельное соединение проводников (сопротивлений).
Два проводника сопротивлением R1 = 20 Ом и R2 = 35 Ом соединены параллельно.
Определить эквивалентное сопротивление цепи.
Дано: R1=20 Ом; R2=35 Ом.
Найти: Rэкв-?
Решение:

Ответ: Rэкв = 12,72 Ом.

Задача №2.
На рисунке представлена электрическая цепь, состоящая из трех параллельно соединённых проводников, сопротивлением R1 = 10 Ом, R2 = 15 Ом, R3 = 25 Ом. Определить полное сопротивление цепи.
Дано: R1=10 Ом; R2=15 Ом; R3=25 Ом.
Найти: Rэкв-?
Ответ: Rэкв = 4,84 Ом.
Два резистора сопротивлением R1 = 1 кОм и R2 = 10 Ом соединены параллельно. Напряжение на первом резисторе U1 = 15 В. Определить ток I2, I12.
Дано: R1=1 кОм; R2=10 Ом: U1 = 15 В.
Найти: I2, I12-?
Решение:
1) Переведём сопротивление R1=1 кОм = 1000 Ом.
2) Так как резисторы соединены параллельно – напряжение на сопротивлениях одинаково:
U12 = U1 = U2 = 15 В.
3) Определяем ток I2 используя закон Ома.
I2 = U2/R2 = 15/10 =1,5 А.
4) Находим эквивалентное сопротивление цепи и ток I12.
Ответ: I2 = 1,5 A, I2 = 1,52 A.
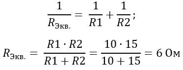
Два сопротивления R1=10 и R2=15 Ом соединены параллельно. Сила тока I12 = 5 А. Определить падение напряжения на каждом сопротивлении и эквивалентное сопротивление цепи.
Дано: R1=10 Ом; R2=15 Ом: I12 = 5 А.
Найти: Rэкв, U1, U2, I2, I12-?
Решение:
1) Находим эквивалентное сопротивление цепи Rэкв.

2) Определяем напряжение U12 используя закон Ома.
U12 = I12·Rэкв = 5·6 =30 В.
3) Так как резисторы соединены параллельно – напряжение на сопротивления одинаковы
U12 = U1 = U2 = 30 В.
Ответ: U12= 30 В, U1 = 30 В, U2 = 30 В, Rэкв = 6 Ом.


