Обмотки якоря

Элементом обмотки якоря является секция, которая своими концами присоединена к двум пластинам коллектора. Секции могут быть одновитковыми и многовитковыми. Пазовые стороны секций расположены в пазах сердечника якоря. Расстояние между пазовыми сторонами секции приблизитеьно равно полюсному делению.

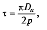
формулагде Da — диаметр сердечника якоря.

Обычно обмотки якоря выполняют двухслойными. В зависимости от порядка присоединения секций к пластинам коллектора обмотки разделяют на волновые и петлевые, простые, сложные и комбинированные.

Простая волновая обмотка

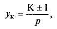
В простой волновой обмотке концы каждой секции присоединены к пластинам коллектора, находящимся на расстоянии, называемом шагом обмотки по коллектору,

шаг обмотки

где К — число коллекторных пластин в коллекторе.

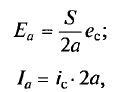
На рис. 13.5 показана схема простой волновой обмотки якоря. Секции обмотки образуют две параллельные ветви (2а = 2). Число параллельных ветвей в обмотке и число секций в каждой ветви определяют ток Iа и ЭДС Еа обмотки якоря:

Снимокмвуы

где S — количество секций в обмотке якоря; ес — ЭДС одной секции; Iс — допустимое значение тока в секции.

Схема простой волновой обмотки

Сложная волновая обмотка

Применяется в машинах постоянного тока, рассчитанных на большие токи. Сложная волновая обмотка состоит из двух простых волновых обмоток, соединяемых щетками параллельно (рис. 13.6). Такая обмотка содержит четыре параллельные ветви, следовательно, ток в ней может быть увеличен в два раза, а ЭДС при этом остается прежней.

сложная волновая обмотка

Простая петлевая обмотка

В машинах постоянного тока низкого напряжения (значительного тока) необходима обмотка якоря с большим числом параллельных ветвей. Таким свойством обладают петлевые обмотки. В простой петлевой обмотке якоря (рис. 13.7) каждая секция присоединена к двум рядом лежащим коллекторным пластинам, а число параллельных ветвей равно числу полюсов, т.е. 2а = 2р.простая петлевая обмотка

Сложная петлевая обмотка

При необходимости получить еще большее число параллельных ветвей применяют сложную петлевую обмотку якоря (рис. 13.8). Такая обмотка содержит две простые петлевые обмотки (m = 2), поэтому у нее число параллельных ветвей удвоено, т.е. 2а =  2 * 2р = 4р. Такие обмотки необходимы в машинах значительной мощности при низком напряжении сети: 12; 24; 48 В.сложная петлевая обмотка

Для того чтобы распределение токов в параллельных ветвях обмотки якоря было одинаковым, необходимо, чтобы электрическое сопротивление этих ветвей не отличалось друг от друга и чтобы ЭДС, наводимые в секциях, составляющих каждую параллельную ветвь, были одинаковыми. При несоблюдении этих условий между параллельными ветвями появляются уравнительные токи, нарушающие работу щеточно-коллекторного контакта.

Исключение составляет простая волновая обмотка, секции которой равномерно распределены под всеми полюсами машины, поэтому магнитная не симметрия машины не вызывает появления в этой обмотке уравнительных токов. Что же касается простой петлевой и всех видов сложных обмоток якоря, то в них всегда имеются причины к появлению уравнительных токов. Это приводит к необходимости применения в указанных обмотках так называемых уравнительных соединений, по которым замыкаются уравнительные токи, разгружая щеточно-коллекторный контакт от перегрузки. Уравнительные соединения усложняют изготовление обмотки якоря и ведут к дополнительному расходу обмоточной меди.

Комбинированная обмотка

 В электрических машинах со значи­тельным током в обмотке якоря простые волновые обмотки неприменимы, так как в этих обмотках число параллельных ветвей не может быть более двух. Чтобы увеличить число параллельных ветвей и избежать нежелательного применения уравнительных соединений в машинах с большой токовой нагрузкой, используют комбинированную обмотку. Такая обмотка состоит из секций волновой и петлевой обмоток, а число параллельных ветвей в ней равно сумме параллельных ветвей петлевой и волновой обмоток. Необходимо, чтобы число параллельных ветвей волновой обмотки было равно числу ветвей петлевой обмотки. Поэтому в четырехполюсной машине комбинированную обмотку выполняют из простой петлевой (2а = 2р = 4) и сложной волновой (m = 2) обмоток. В этом случае число параллельных ветвей комбинированной обмотки равно 2акомб = 4 + 4 = 8. В такой обмотке ветви одной из составляющих обмоток служат уравнительными соединениями для другой. В итоге комбинированная обмотка с таким числом параллельных ветвей оказывается проще сложной петлевой обмотки.