Среднее и действующее значения синусоидально изменяющейся величины
Среднее значение
Под средним значением синусоидально изменяющейся величины понимают ее среднее значение за полпериода.
т. е. среднее значение синусоидального тока составляет 2/π = 0,638 от амплитудного. Аналогично, Eср = 2Ем/π ; Ucp = 2Uм/π.
Действующее значение
Широко применяют понятие действующего значения синусоидально изменяющейся величины (его называют также эффективным или среднеквадратичным).
Следовательно, действующее значение синусоидального тока равно 0,707 от амплитудного. Аналогично 
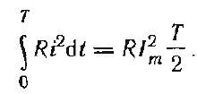
Можно сопоставить тепловое действие синусоидального тока с тепловым действием постоянного тока, текущего то же время по тому же сопротивлению.
Количество теплоты, выделенное за один период синусоидальным током,
Выделенная за то же время постоянным током теплота равна RI2пост Т. Приравняем их:
Таким образом, действующее значение синусоидального тока I численно равно значению такого постоянного тока, который за время, равное периоду синусоидального тока, выделяет такое же количество теплоты, что и синусоидальный ток.
Большинство измерительных приборов показывает действующее значение измеряемой величины.

