Параллельное соединение катушки и конденсатора

Для рассмотрения параллельного соединения катушки и конденсатора представим их на схеме активными и реактивными проводимостями (рис. 14.11, а).1

На схеме рис. 14.1.1, б те же катушки и конденсатор представлены активными и реактивными сопротивлениями. Первая схема имеет некоторое преимущество, так как в ней все элементы соединены параллельно, а в другой они соединены смешанно.

Считая известными параметры катушки G1, BL и конденсатора G2, BC, а также напряжение u = Umsinωt, определим токи в цепи и ее мощность.

Векторная диаграмма цепи. Полная проводимость цепи

Согласно первому закону Кирхгофа, мгновенная величина общего тока равна сумме мгновенных токов отдельных ветвей:

2

Имея в виду несовпадение по фазе активных и реактивных токов, величину общего тока найдем векторным сложением:

3

Для построения векторной диаграммы находим:

4

В зависимости от соотношения величин реактивных проводимостей ветвей с индуктивностью и емкостью можно отметить три случая.5

1. BL> BC. Для этого случая векторная диаграмма представлена на рис. 14.12, а. На диаграмме построены треугольники токов для катушки и конденсатора и найдены векторы токов I1 и I2 в этих элементах:

6

Векторная сумма токов l1 + I2 = I дает общий ток в цепи. Вместе с тем вектор I является гипотенузой прямоугольного треугольника токов, катеты которого — составляющие вектора тока по двум взаимно перпендикулярным осям:

Iа = I1G + I2G активная составляющая;
Ip = IL + ICреактивная составляющая.

Векторы активных составляющих токов направлены в одну сторону, поэтому их численные значения складываются. Векторы реактивных составляющих токов направлены перпендикулярно вектору напряжения в противоположные стороны, поэтому им даются разные знаки: индуктивные токи считаются положительными, а емкостные — отрицательными. При одинаковом напряжении на всех элементах цепи IL > IC. Общий ток отстает от общего напряжения по фазе на угол ф.

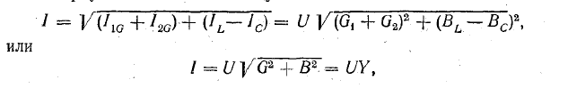
Из треугольника токов следует

7

где G = G1 + G2 и В = BL — Bc — общие активная и реактивная проводимости цепи;

 8 полная проводимость цепи. Эти три проводимости графически можно изобразить сторонами прямоугольного треугольника проводимостей, который получается уже известным способом’ из треугольника токов.

Полная проводимость цепи У является коэффициентом пропорциональности между действующими величинами общего тока и напряжения цепи:9

Из треугольников токов и проводимостей определяют величины:

10

Угол сдвига по фазе между напряжением и общим током в цепи положительный(ф> 0).

2. ВLC. Векторная диаграмма изображена на рис. 14.12,б. Так как IL<Iс. то напряжение отстает от общего тока на угол ф<0.

Реактивная проводимость цепи имеет емкостный характер. Расчетные формулы, полученные для случая 1, действительны и для этого случая.

3. BL = ВC. В этом случае реактивные составляющие токов катушки и конденсатора равны по величине: IL = IC. Реактивная составляющая общего тока и общая реактивная проводимость равны нулю. Общий ток совпадает по фазе с напряжением и равен по величине активной составляющей тока. Угол ф сдвига фаз между общим током и напряжением равен нулю.

Общий ток в цепи и напряжение связаны формулой

I = UG, или U = I/G.

В случае ВL = ВC в цепи имеет место резонанс токов.

Энергетический процесс в цепи

Из векторной диаграммы токов легко получить треугольник мощностей, из которого следуют те же формулы (14.2), которые были получены для последовательного соединения катушки и конденсатора.

Реактивные мощности индуктивности и емкости входят в расчет с разными знаками: реактивная мощность индуктивности положительна, а реактивная мощность емкости отрицательна. В соответствии с этим знак реактивной мощности всей цепи может быть тем или другим, что следует из формул (14.2).

Если ф> 0, то Q> 0; при ф< 0  Q< 0.

Активная мощность положительна при любом значении угла. Полная мощность тоже всегда положительна.

В рассматриваемой цепи активная мощность имеет определенную величину (Р ≠ 0), следовательно, имеет место преобразование электрической энергии в другой вид.

Кроме того, часть энергии, полученной от генератора, возвращается обратно в генератор (Q ≠ 0 при ф ≠ 0).

Обмен энергией совершается также между катушкой и конденсатором.