Расчет неразветвленных цепей переменного тока
Порядок расчета, установленный для цепи при последовательном соединении катушки и конденсатора, можно применить и для цепи, содержащей произвольное число катушек и конденсаторов, соединенных последовательно.

На рис. 14.7, а для примера дана схема неразветвленной цепи, состоящей из пяти участков: конденсатора (R1 Х1) и катушки (R2, Х2), представленных активными и реактивными сопротивлениями; резистора R3; идеальных конденсатора Х4 и катушки Х5.
Предположим, что кроме сопротивлений известен ток в цепи i = Imsinωt. Требуется найти напряжения на участках, общее напряжение в цепи и мощность.
Векторная диаграмма
Произвольно выберем условно-положительное направление тока i, в данном случае по часовой стрелке. Для мгновенных величин в соответствии со вторым законом Кирхгофа уравнение напряжений (а — падение напряжение на активном сопротивлении; р — падение напряжения на реактивном элементе )
u = u1a + u1p + u2a + u2p + u3a + u4p + u5p;
Для действующих величин необходимо записать векторную сумму:
U = U1a + U1p + U2a + U2p + U3a + U4p + U5p;
Численно векторы напряжений определяются произведением тока и сопротивления соответствующего участка. На рис. 14.7, б построена векторная диаграмма, соответствующая этому уравнению. За исходный, как обычно при расчете неразветвленных цепей, принят вектор тока, а затем проведены векторы падения
напряжения на каждом участке схемы, причем направления их относительно веrтора тока выбраны в соответствии с характером сопротивления участков.
При построении диаграммы напряжений выбрана начальная точка 6 совпадающая с началом вектора тока i. Из этой точки проведен вектор U5.2 реактивного напряжения индуктивности (по фазе опережает ток на 90°) между точками 5 и 6 цепи. Из конца его проведен вектор U4р реактивного напряжения емкости (по фазе отстает от тока на 90° ) между точками 4 и 5 цепи. Затем отложен вектор U3a активного напряжения на резисторе (совпадает по фазе с током) между точками
3 и 4 цепи и т. д., если следовать по цепи против направления тока.Точки векторной диаграммы, где сходятся начало следующего вектора с концом предыдущего, обозначены теми же номерами, какими на схеме обозначены точки, отделяющие одни элемент от другого.
При таком, построении напряжение между любыми двумя точками цепи можно найти по величине и фазе, проведя вектор на диаграмме между точками с теми же номерами. Например, напряжение U5.2 между точками 5 и 2 выражается вектором, проведенным из точки 2 в точку 5 (вектор U2.5 направлен в обратную сторону); напряжение U3.1 между точками 3 и 1 выражается вектором, проведенным из точки
1 в точку 3.
Векторная диаграмма, построенная в соответствии с чередованием элементов цепи, называется топографической, так как точки, отделяющие векторы друг от друга, соответствуют точкам, разделяющим элементы схемы.
Расчетные формулы
Из векторной диаграммы видно, что все активные составляющие векторов напряжений направлены одинаково — параллельно вектору тока, поэтому векторное сложение их можно заменить арифметическим и найти активную составляющую напряжения цепи: Ua = U1a + U2a + U3a
Реактивные составляющие векторов напряжений перпендикулярны вектору тока, причем индуктивные напряжения направлены в одну сторону, а емкостные — в другую. Поэтому реактивная составляющая напряжения цепи Up определяется их алгебраической суммой, в которой индуктивные напряжения считаются положительными, а емкостные — отрицательными: Up = — U1р + U2p — U4p + U5p.
Векторы активного, реактивного и полного напряжений цепи образуют прямоугольный треугольник, из которого следует
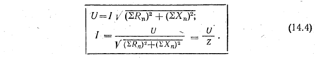
Подставив падения напряжения, выраженные через ток и соответствующие сопротивления, получим:

Таким образом снова получена знакомая уже формула, связывающая ток, напряжение и полное сопротивление цепи [ср. (14.4) и (14.1)].
В этой формуле ∑Rn—общее активное сопротивление, равное арифметической сумме всех активных сопротивлений, входящих в неразветвленную цепь; ∑Xn — общее реактивное сопротивление, равное алгебраической сумме всех реактивных сопротивлений, входящих в неразветвленную цепь. В этой сумме индуктивные сопротивления считаются положительными, а емкостные — отрицательными. Полное сопротивление неразветвленной цепи
В общем случае полное сопротивление цепи определяется как гипотенуза прямоугольного треугольника, катетами которого являются выраженные в определенном масштабе активное и реактивное сопротивления всей цепи. Из треугольника сопротивлений следует:

От треугольника напряжений можно перейти также к треугольнику мощностей и получить уже известные формулы для определения мощностей в цепи:![]()
Вместе с тем активную мощность цепи можно представить как арифметическую сумму активных мощностей в элементах с активным сопротивлением. Реактивная мощность цепи равна алгебраической сумме мощностей реактивных элементов.
В этой сумме мощность индуктивных элементов считается положительной, а емкостных — отрицательной:
![]()
Формулы (14.2)—(14.7) являются общими; из них можно получить конкретное выражение для любой неразветвленной цепи.